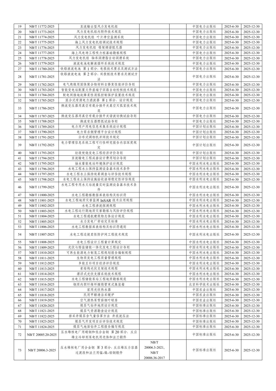
【政策】国家能源局批准304项能源行业标准

【政策】国家能源局批准304项能源行业标准

格式:docx
页数:8 页
大小:94.30 KB
资源下载
仅限VIP下载,请先

------预览已结束,还剩6页未读------
开通会员后可免费下载高清完整文档

资源下载
下载价格VIP专享
仅限VIP下载升级VIP
格式:docx
页数:8 页
大小:94.30 KB
0
没有账号?注册  忘记密码?